腾讯企业邮
网站首页
关于我们
企业文化
组织机构
新闻资讯
公司新闻
优势技术
优势技术
工程业绩
人才招聘
在线留言
联系我们
昊永化工
诚信、创新、发展、奉献
昊永化工
诚信、创新、发展、奉献
优势技术
当前位置:
网站首页
>>
优势技术
>>
优势技术
>>
查看详情
共氧化法PO/SM技术
共氧化法PO/SM技术
点击次数:
11500
发布时间:
2019-10-09 11:10:51
我要订购
产品描述
1、技术背景
环氧丙烷(PO)是非常重要的有机化合物原料,是仅次于聚丙烯和丙烯腈的第三大丙烯类衍生物。苯乙烯(SM)是苯的重要工业衍生物之一,是重要的基本有机化工原料。
2、技术概述
本技术将采用催化精馏技术生产乙苯氢过氧化物(EBHP),然后将丙烯环氧化生产环氧丙烷,将副产物氢化脱水后得到苯乙烯。
3、工艺原理
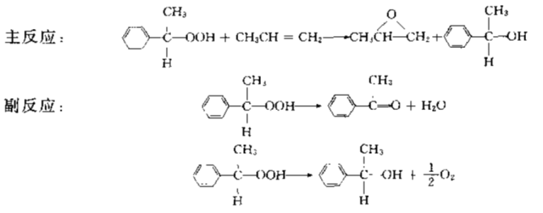
(1)乙苯过氧化
(2)丙烯环氧化
(3)氢化、脱水制苯乙烯
4、工艺流程
5、技术优点
采用塔式过氧化反应器,反应温度低,选择性高,反应温度在爆炸极限外。反应蒸馏塔对反应温度的控制力强。
上一产品:
IBTN & PGEB 新技术
下一产品:
聚氯乙烯高沸塔底釜液残精制技术
友情链接
关于我们
企业文化
组织机构
新闻资讯
公司新闻
优势技术
优势技术
工程业绩
人才招聘
电话:
022-58211205
邮件:
tjhyhg@haotech.cn
地址:
天津市空港经济区环河北路商务园西区一号楼八楼
微信扫描关注我们:
津公网安备 12019102000179号